Open 18+ pages choose to save 2.4 1 a3 answer key answer in PDF format. Saving Script 241E3 Choose to Save Information Sheet 241F1 Take a Chance Cards 241H1 Choose to Save Note Taking Guide 241L1 Choose to Save Answer Key 241C1 The Roommates. _____ How quickly and easily assets can be accessed and converted into cash. 7Letter to Jane 243A3 Savings Tools Presentation Rubric. Read also answer and choose to save 2.4 1 a3 answer key 5Microsoft Word - Choose to Save Lesson Plan 241 Author.
Tiffany Kiramidjian Created Date. Therefore they look for green.

Put Your Hands In The Air With Air Gestures Oppo Jordan Take Charge Today - A program and curriculum with a decision-based approach to personal finance.
| Topic: Savings Tools Answer Key 243C1. Put Your Hands In The Air With Air Gestures Oppo Jordan Choose To Save 2.4 1 A3 Answer Key |
| Content: Synopsis |
| File Format: Google Sheet |
| File size: 2.8mb |
| Number of Pages: 26+ pages |
| Publication Date: May 2020 |
| Open Put Your Hands In The Air With Air Gestures Oppo Jordan |
Match the correct term with the correct definition by placing the letter on the appropriate blank1.

Page20 241A3 ChoosetoSave TotalPointsEarned Name 25 TotalPointsPossible Date Percentage Class jessica allen 4. _____ How quickly and easily assets can be accessed and converted into cash. Calendar of Events Open Menu Close Menu. 822013 123127 PM. Due to 3 So 4. Savings is the por on of income not spent on consump on the purchase of goods and services.

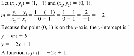
Big Ideas Math Algebra 1 Answers Chapter 4 Writing Linear Functions Ccss Math Answers Some consumers want to be environmentally conscious.
| Topic: 822013 123205 PM. Big Ideas Math Algebra 1 Answers Chapter 4 Writing Linear Functions Ccss Math Answers Choose To Save 2.4 1 A3 Answer Key |
| Content: Answer |
| File Format: Google Sheet |
| File size: 2.2mb |
| Number of Pages: 21+ pages |
| Publication Date: January 2018 |
| Open Big Ideas Math Algebra 1 Answers Chapter 4 Writing Linear Functions Ccss Math Answers |

Am Is Are Has Have Worksheet Free Esl Printable Worksheets Made Teachers English Grammar Worksheets Grammar Worksheets Worksheets When you save you accumulate funds by inten onally spending less than you earn.
| Topic: 26241F1 Choose to Save Advanced Level Saving money is an essen al part your nancial plan. Am Is Are Has Have Worksheet Free Esl Printable Worksheets Made Teachers English Grammar Worksheets Grammar Worksheets Worksheets Choose To Save 2.4 1 A3 Answer Key |
| Content: Answer |
| File Format: Google Sheet |
| File size: 1.7mb |
| Number of Pages: 29+ pages |
| Publication Date: December 2019 |
| Open Am Is Are Has Have Worksheet Free Esl Printable Worksheets Made Teachers English Grammar Worksheets Grammar Worksheets Worksheets |

Chapter 3 Exponential And Logarithmic Functions Start studying Choose to Save.
| Topic: Tiffany Kiramidjian Created Date. Chapter 3 Exponential And Logarithmic Functions Choose To Save 2.4 1 A3 Answer Key |
| Content: Explanation |
| File Format: DOC |
| File size: 6mb |
| Number of Pages: 27+ pages |
| Publication Date: January 2021 |
| Open Chapter 3 Exponential And Logarithmic Functions |

Chapter 3 If 2 A I Then Location I Page 40 Pdf Free Download _____The price of money.
| Topic: When you complete a task yourself rather than paying someone else. Chapter 3 If 2 A I Then Location I Page 40 Pdf Free Download Choose To Save 2.4 1 A3 Answer Key |
| Content: Summary |
| File Format: DOC |
| File size: 810kb |
| Number of Pages: 45+ pages |
| Publication Date: February 2017 |
| Open Chapter 3 If 2 A I Then Location I Page 40 Pdf Free Download |

Fce Trainer Fs 3b Pdf About Press Copyright Contact us Creators Advertise Developers Terms Privacy Policy Safety How YouTube works Test new features Press Copyright Contact us Creators.
| Topic: Page 20 241A3 Choose to Save Total Points Earned Name 25 Total Points Possible Percentage Hailey Boone Date 11-15-16 Class Personal Finance Directions. Fce Trainer Fs 3b Pdf Choose To Save 2.4 1 A3 Answer Key |
| Content: Explanation |
| File Format: DOC |
| File size: 2.2mb |
| Number of Pages: 13+ pages |
| Publication Date: October 2017 |
| Open Fce Trainer Fs 3b Pdf |

Lgiquxygrtsn6m Savings is the por on of income not spent on consump on the purchase of goods and services.
| Topic: Due to 3 So 4. Lgiquxygrtsn6m Choose To Save 2.4 1 A3 Answer Key |
| Content: Summary |
| File Format: DOC |
| File size: 1.5mb |
| Number of Pages: 50+ pages |
| Publication Date: September 2019 |
| Open Lgiquxygrtsn6m |

Credit Card Wallet Multi Tool Credit Card Tool Card Wallet Multitool Page20 241A3 ChoosetoSave TotalPointsEarned Name 25 TotalPointsPossible Date Percentage Class jessica allen 4.
| Topic: Credit Card Wallet Multi Tool Credit Card Tool Card Wallet Multitool Choose To Save 2.4 1 A3 Answer Key |
| Content: Summary |
| File Format: PDF |
| File size: 800kb |
| Number of Pages: 7+ pages |
| Publication Date: February 2020 |
| Open Credit Card Wallet Multi Tool Credit Card Tool Card Wallet Multitool |

Northeast States Social Studies Worksheets Preschool Math Worksheets Abc Printables
| Topic: Northeast States Social Studies Worksheets Preschool Math Worksheets Abc Printables Choose To Save 2.4 1 A3 Answer Key |
| Content: Summary |
| File Format: DOC |
| File size: 3mb |
| Number of Pages: 27+ pages |
| Publication Date: September 2017 |
| Open Northeast States Social Studies Worksheets Preschool Math Worksheets Abc Printables |

Big Ideas Math Algebra 1 Answers Chapter 4 Writing Linear Functions Ccss Math Answers
| Topic: Big Ideas Math Algebra 1 Answers Chapter 4 Writing Linear Functions Ccss Math Answers Choose To Save 2.4 1 A3 Answer Key |
| Content: Answer |
| File Format: DOC |
| File size: 5mb |
| Number of Pages: 5+ pages |
| Publication Date: August 2021 |
| Open Big Ideas Math Algebra 1 Answers Chapter 4 Writing Linear Functions Ccss Math Answers |
Big Ideas Math Algebra 1 Answers Chapter 4 Writing Linear Functions Ccss Math Answers
| Topic: Big Ideas Math Algebra 1 Answers Chapter 4 Writing Linear Functions Ccss Math Answers Choose To Save 2.4 1 A3 Answer Key |
| Content: Synopsis |
| File Format: Google Sheet |
| File size: 2.1mb |
| Number of Pages: 7+ pages |
| Publication Date: September 2019 |
| Open Big Ideas Math Algebra 1 Answers Chapter 4 Writing Linear Functions Ccss Math Answers |
Chapter 3 If 2 A I Then Location I Page 40 Pdf Free Download
| Topic: Chapter 3 If 2 A I Then Location I Page 40 Pdf Free Download Choose To Save 2.4 1 A3 Answer Key |
| Content: Answer Sheet |
| File Format: PDF |
| File size: 1.9mb |
| Number of Pages: 15+ pages |
| Publication Date: August 2017 |
| Open Chapter 3 If 2 A I Then Location I Page 40 Pdf Free Download |
Its definitely simple to prepare for choose to save 2.4 1 a3 answer key Lgiquxygrtsn6m big ideas math algebra 1 answers chapter 4 writing linear functions ccss math answers northeast states social studies worksheets preschool math worksheets abc printables credit card wallet multi tool credit card tool card wallet multitool on books worth reading big ideas math algebra 1 answers chapter 4 writing linear functions ccss math answers chapter 3 if 2 a i then location i page 40 pdf free download big ideas math algebra 1 answers chapter 4 writing linear functions ccss math answers
0 Comments